Políticas Públicas, Planificación y Pueblos Indígenas en Chile.

Marcos Valdés (Wekull)(*)
Sociólogo

Introducción.

Durante prácticamente la mitad del siglo XX, la planificación social ha sido una de las grandes preocupaciones de los operadores de las políticas públicas de los estados nacionales.

Los paradigmas desde los cuales se ha intentado reflexionar e implementar un modelo de planificación social, sin embargo, han sido disímiles, no concordando en aspectos importantes debido fundamentalmente a incongruencias de sus fuentes teóricas. Esto ha determinado que la construcción de los grandes modelos teóricos desde los cuales se pensaba la planificación social fueran la expresión casi fundamentalmente de los paradigmas políticos dominantes, de modo que su implementación no ha sido otra cosa que el reflejo de discursos y conflictos políticos.

Este problema generó una clara dificultad operacional en el sentido de la imposibilidad de crear un modelo de planificación social que fuera un instrumento eficiente y dedicada a su deber ser(1). No obstante, esta dificultad fue aprovechada por los estados nacionales para darle a la planificación social una orientación normativa, que evidentemente ha sido utilizada como instrumento de control social y de legitimación política.

No es el objetivo de este documento revisar la historia de la planificación, sino más bien, analizar el proceso de planificación social en relación con los pueblos indígenas, es decir, se trata de vincular las políticas públicas - en tanto lineamientos estratégicos -, con su implementación empírica en los pueblos indígenas. Tampoco será el objetivo final de este documento, dar cuenta del problema del poder que como punto de referencia inicial evidentemente habría que considerar, no obstante resulta necesario al menos hacer un alcance al respecto.

No es apresurado afirmar que, la relación existente entre poder - políticas públicas - planificación es directa, asimétrica y en general se implementa a partir de la configuración de espacios sociales hegemónicos y otros subordinados, en este contexto, las políticas públicas han de buscar legitimizar y privilegiar un tipo de ideología que desde el espacio del poder se define, adecuándolos según sea la característica de la coyuntura, tal como se intentará mostrar mas adelante.

Evidentemente, los estados nacionales no han sido ingenuos en el uso de estas herramientas, puesto que en el caso de los pueblos indígenas esto ha tenido una aplicación muy nítida en el caso chileno, cabe recordar que como resultado de los denominados "diálogos comunales", el gobierno se comprometió a invertir una importante cantidad de recursos, ninguno de los cuales eran recursos frescos sino que el cálculo se hizo a partir de la sumatoria de recursos invertidos anualmente a partir de una proyección presupuestaria, lo que constituyó a todas luces una estrategia desmovilizadora de las comunidades mapuche.

Por último, es necesario hacer notar que el énfasis de este documento, estará dado por un abordamiento crítico de la experiencia de la planificación en Chile respecto de los pueblos indígenas. Desde luego, se ha de entender que este esfuerzo no es ni comprehensivo ni global, sino un acercamiento primario al tema.

La planificación como preocupación del estado.

Desde sus inicios, la planificación fue una preocupación normativa - estratégica de los estados nacionales, independiente de su modelo administrativo-político. Muchos estados de orientación política conservadora, optaron por la implementación del modelo laissez-faire que de algún modo, es la planificación sin ella, que se sustenta en una sólida base normativo – jurídica, estrictamente condicionada y férreamente defendida por los grupos de poder dominantes, desde luego, no existe este modelo en estado puro, sin embargo, la observación empírica indica que los estados conservadores optaron por dejar al mercado la distribución y ordenación de la inversión social, pero condicionando y regulando sus mercados internos a través de diversos mecanismos, lo cual les ha permitido acumular una importante cuota de poder.

Por el lado opuesto, es posible observar, la radicalización de la planificación en que los estados intentaron planificar todos los aspectos de la vida social. Estos estados obedecían a una orientación política específica que podían implementar a través de la planificación central, no obstante, este modelo dio muestras de ineficiencia estructural que finalmente resultó en su fracaso histórico.

No obstante, la planificación social fue correctamente valorada por los operadores y técnicos de la estructura del estado a partir de las últimas décadas del siglo XX, en el sentido de que era necesario intentar invertir eficientemente(2) los recursos destinados a resolver las distintas problemáticas que se le presentaban, y esta herramienta ofrecía la posibilidad de optimizar dicha inversión. Sin embargo, sucesivos experimentos, insuficientes desarrollos de herramientas prospectivas, escasos niveles de conocimiento del objeto social entre otras dificultades dejaron escapar grandes esfuerzos técnicos y teóricos.

Probablemente no sea apresurado afirmar que, independiente del modelo de planificación utilizado por los estados nacionales, esta ha presentado serias dificultades estructurales en cuanto a ofrecer soluciones suficientemente poderosas como para resolver adecuadamente las distintas problemáticas que deberían resolver. No obstante, se ha de reconocer que ha habido intentos serios, por implementar un modelo de planificación orientado a objetivos.

En Chile por ejemplo, la planificación ha sido una prioridad política de relevancia que se releva particularmente a partir del quiebre de la institucionalidad democrática y la asunción de la dictadura militar.

En efecto, los militares saben mejor que nadie el valor de la estrategia y la planificación, por lo que, independiente de su discurso en cuanto al mercado, siempre le sería necesario un sistema de planificación adecuado a sus necesidades y requerimientos, en ese contexto coyuntural nace ODEPLAN (Oficina de Planificación Nacional).

Posteriormente, ocurrió el proceso natural de la profesionalización y especialización de planificación con el consecuente incremento en la división del trabajo(3). Adicionalmente, se produjo una fuerte tecnificación y una notoria burocratización de la actividad planificadora que en muchos casos (en donde el caso de Chile es paradigmático) produjo un anquilosamiento y la consecuente gigantización de dicha gestión, en el caso de Chile, esto viabilizó la creación de un "ministerio de planificación" (MIDEPLAN).

Paralelamente a la tecnificación de la inversión pública, se produjo una ostensible disminución de los recursos a los que se podía acceder en Chile vía cooperación internacional, lo que limitó seriamente la posibilidad de alcanzar un mayor crecimiento por fuera(4) de las directrices generales del estado, centralizando fuertemente los pocos recursos a los cuales se podía acceder vía cooperación internacional.

Indudablemente este hecho provocó los problemas clásicos de la centralización, tales como, manipulación de la información en beneficio de actores proclives a la gestión política de turno, restricción de los recursos con criterios no siempre de orden técnico y burocratización de los procedimientos.

Muchas de las críticas y observaciones anteriores se repiten a lo largo del tiempo a tal punto que hoy nadie discute tales cuestiones, por tal razón no resulta necesario ahondar en la reflexión crítica de estos aspectos, no obstante, no resulta ocioso decir que hasta ahora las estructuras técnicas diseñadas para la planificación frecuentemente se han entrampado en discusiones accesorias y poco eficientes respecto de su deber ser, producto de su subordinación a factores externos como es el poder administrado por los gobiernos de turno.

Políticas Públicas y Planificación Social.

Es evidente que la relación entre las políticas públicas y la planificación social es directa, en el sentido de que, la planificación social responde a la necesidad de la implementación de las políticas públicas(5), y evidentemente ambas se articulan con arreglo a las directrices ideológicas que el orden social permite y/o que está en condiciones de aceptar.

Desde esa perspectiva, la planificación social no es otra cosa que la vía por la cual las políticas públicas se implementan(6) y legitiman. Resulta entonces que la planificación social se ubica más bien, en un nivel táctico, pero que a su vez, conserva una importante proporción de características estratégicas, lo cual le otorga a la planificación social características especiales en tanto puede ser concebida en un plano intermedio e interdependiente estratégico - táctico(7).

No obstante, una característica adicional de esta relación es que no puede existir incoherencias importantes entre lo definido estratégicamente como política pública y su modo de ejecución, cuando sucede algo así, rápidamente se recompone la relación a favor del nivel estratégico.

Por su parte, las políticas públicas son definidas cupularmente como líneas prioritarias de acción. Su concepción, generalmente está determinada por las percepciones que los operadores políticos tienen respecto de un determinado problema o en su defecto, por la necesidad de cumplir promesas electorales por parte del gobierno de turno. En general no es aventurado afirmar que las prioridades políticas reflejadas a través de las políticas públicas en muchas ocasiones no están sustentadas técnicamente y su viabilidad social y económica no está justificada.

Por otro lado, al examinar la relación antes expuesta, es posible observar la existencia de un orden jerárquico(8) muy poco flexible que en muchos casos impiden, cuestionan y/o entrampan posibles modificaciones o ajustes en el diseño de las políticas públicas. Es mas, no existe prácticamente recursividad(9) en la relación políticas públicas - planificación social, puesto que dicha relación se percibe como lineal y vertical por los operadores de políticas públicas y de esta manera se ha socializado en los planificadores sociales.

La relación lineal antes descrita, por su naturaleza y dinámica interna la hacen poco permeable a la crítica, generando una serie de mecanismos ad – hoc(10) para defenderse ante cuestionamientos que podrían considerar como lesivos de sus lineamientos estratégicos. Quizás este sea uno de los aspectos menos explorados y por lo tanto menos intervenido, puesto que introduce una variable epistemológica en el análisis de la relación que convendría investigar.

Sin duda, la planificación social sigue siendo una herramienta útil para minimizar el grado de incertidumbre que tiene la aplicación de políticas públicas, especialmente cuando no existe información oportuna, válida y confiable, o cuando esta es sesgada y poco representativa(11), aún cuando es necesario revisar sus fundamentos teóricos con arreglo a los nuevos escenarios en los cuales le compete su quehacer.

Pero por otro lado, indudablemente la aplicación tecnocrática de la planificación social conlleva una serie de peligros propios de la ingeniería social, tales como la sobrevaloración de aspectos presupuestarios o la subvaloración de aspectos que parecieran ser estadísticamente irrelevantes por sobre variables de carácter social y con fuertes consensos al interior de la sociedad, para ejemplificar tomemos el caso de la discapacidad por ejemplo; cualquier ingeniero social recomendaría no invertir en discapacidad puesto que estos son una cantidad tan reducida y poco representativa que la inversión no es proporcional a la cantidad de beneficiarios potenciales. Si este criterio hubiera sido aplicado como criterio racional entonces, los discapacitados todavía no tendrían oportunidad de acceder al tren urbano metropolitano. Otro peligro evidente de la aplicación de la planificación social de modo tecnocrático es la subordinación de todos los elementos políticos, éticos y sociales presentes en cualquier conglomerado social, lo que implica una suerte de dictadura tecnocrática.

Aún cuando, lo anterior es aceptado por los operadores de políticas públicas y sociales y muchas de las críticas al modelo han sido absorbidas por estos, es necesario recalcar la necesidad de repensar la actividad planificadora, en términos de otorgarle un perfil más flexible, permeable al entorno social y por supuesto con mayor capacidad resolutiva. En los títulos subsiguientes se examinan a grosso modo algunos elementos considerados como relevantes en este problema.

Modelos de Planificación Social.

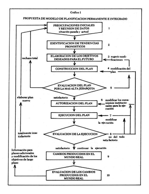
El proceso clásico de planificación, responde mas o menos al siguiente esquema:

Una ventaja de este modelo, es que actúa con gran capacidad de resolución y eficiencia en aquellos espacios sociales en donde las variables que interactúan también son relativamente estables, naturalmente no siempre se puede visualizar todas las variables en juego, por lo que siempre, habrá un espacio de incertidumbre, sin bien indeterminado, por lo menos no lo suficientemente importante como para hacer ajustes drásticos en su estructura planificadora, el caso de las políticas de vivienda en Chile, ilustra bien este punto, puesto que las políticas públicas respecto del tema no ha variado sustantivamente en las últimas 4 décadas, no obstante, en el último tiempo se han introducido ajustes en el modelo a raíz de casos como el de las famosas "las casas de nylon" o "casas COPEVA"(12).

Otra ventaja evidente de este modelo es que actúa con gran rapidez y precisión y con antelación es posible visualizar resultados, en este esquema, nunca una evaluación será negativa.

De esta forma, "los inputs de la actividad administrativa prejuzgan y guían el output, y cuanto más claramente y excluyentemente se impongan tales premisas en el proceso de decisión, más racional es la Administración. En el caso ideal, son los outputs un resultado de las normas jurídicas, de programas de organización, de reglas codificadas de comportamiento y de rutinas, calculable de antemano por cualquiera de los afectados"(13).

En este esquema, la posibilidad de innovación e introducción de nuevos elementos no es viable por cuanto políticamente representa una seria dificultad implantar modificaciones y correcciones a través de la intercalación de ciclos decisionales intermedios. Aún cuando, en general, han habido experiencias de introducción de ciclos decisionales intermedios, estos nunca han modificado los dos primeros componentes del esquema.

Por otro lado, y complementario a lo anterior, está el hecho de que cualquier modificación en el sistema, a la larga, es mas cara porque muchos recursos son utilizados experimentalmente pero sin continuidad ni proyección futura y los esfuerzos orientados a mejorar se diluyen en el tiempo(14).

En el último tiempo han surgido una serie de propuestas en orden a implementar modelos de planificación con mayor capacidad de adaptación a los nuevos escenarios sociales, algunos de estos modelos son enunciados más adelante.

No obstante, el modelo de planificación graficado antes es estático, poco flexible, responde tarde a las necesidades surgidas en determinadas coyunturas producto de nuevos fenómenos sociales, por lo tanto, en algunas ocasiones es poco oportuno e ineficiente en un modelo de contingencia variable, además de ser un modelo mas caro por cuanto actúa sobre los efectos de los factores históricos y sociales y no sobre sus causas.

Considérese el siguiente esquema.

Tomado de Bromley Op cit.

El esquema anterior corresponde a la propuesta de Bromley, que introduce innovaciones interesantes respecto de cómo se concibe el proceso de planificación social en general. La diferencia más notable del modelo propuesto por Bromley respecto del modelo clásico de planificación social, está dado, a nuestro juicio, por la introducción de nodos variables anidados en el proceso planificador. Dichos nodos anidados le otorgan al proceso planificador una importante capacidad de adaptación frente a la variabilidad del entorno social.

El modelo propuesto por Bromley tiene la ventaja de privilegiar la información como insumo básico para la actividad planificadora, esto es importante en la medida que no siempre este insumo es ponderado adecuadamente por los operadores de planificación social, ya que estos adecuan sus necesidades de planificación a lo que es definido políticamente por los estados nacionales.

No obstante, la propuesta de Bromley requiere de muchos recursos interconectados, una fuerte sinergia y también una clara disposición colaborativa intraactores, que no siempre es el caso.

Algunos han propuesto un modelo alternativo a la planificación social, que surge "como una reacción a las deficiencias y sesgos de las experiencias en materia de planificación", cual es: la gestión estratégica: dicho modelo "implica la idea de administrar y hacer funcionar coordinadamente los principales componentes de un todo", y "contiene la noción de conducción hacia una finalidad". Por lo tanto, gestión estratégica, sería "el método por medio del cual se plasma en decisiones y acciones concretas un proyecto político dado."(15)

Nótese que en esta definición, sigue habiendo una conceptualización lineal y que no se adecua suficientemente a un entorno social variable con cambio continuo y en donde los espacios de incertidumbre se han ampliado marcadamente.

Matus por otro lado, ha propuesto un modelo en el cual hay una importante reconceptualización de las nociones fundamentales de la planificación. La propuesta de Matus - la planificación situacional - incluye la necesidad de darle mayor horizontalidad al modelo clásico de planificación y reconoce la existencia del conflicto al interior de las relaciones sociales en un espacio social determinado. Plantea además la superación de conceptos importantes tales como el diagnóstico formulando conceptos alternativos como el de la explicación situacional.

Para Matus la planificación debe responder a la obligación de reconocer la existencia de "actores sociales en situaciones de poder compartido"(16).

Independiente de los modelos propuestos como alternativa a la planificación formal, tal vez habría que plantearse la posibilidad de integrar un modelo basado en módulos flexibles y dinámicos, con alta capacidad de resolución, recursivo e interdependiente, que cambiara la idea de la planificación formal por la de programación social.(17)

Evidentemente un modelo recursivo, implica la elaboración de un modelo altamente flexible que contiene algunos de los peligros propios de su dinámica, unos de los cuales es el "espontaneísmo acientífico, que es una tentación de los modernos esquemas de planificación flexible."(18)

Planificación y Funcionalidad Social.

Desde que se instaló en las ciencias sociales la percepción de que las sociedades estaban compuestas por espacios sociales delimitados, se generalizó la idea de que las intervenciones sociales podían ser igualmente parceladas. En esta nueva estrategia, el modelo de intervención pasará a tener un creciente incremento en la actividad tecnológica puesto que será necesario precisar cada vez con mayor exactitud el conjunto social en donde se requiere intervenir. Así, todo subconjunto social tendrá su particular estrategia de intervención, diferenciada y mutuamente excluyente.

Considérese el siguiente cuadro:

Según este esquema(19), existiría un axioma concomitante y relacional, cual es que el todo social puede ser descompuesto en cada una de sus partes, si esto es cierto, luego entonces, es posible señalar y restringir sus fronteras como asimismo también sus mediaciones.

Esta idea introducida en el nivel de la planificación se ha operacionalizado a través de diversos organismos que intervienen su objeto social con arreglo a distinciones intrasociales de carácter tecnológico, de este modo en Chile, estos organismos han sido creados con el fin específico de actuar sobre sectores sociales claramente delimitados(20) o al menos con una cierta definición límite que le otorga la característica de ser mutuamente excluyente.

El problema más serio, - a nuestro entender -, es que en este modelo teórico no existe reflexión respecto de la transversalidad(21) que casi sin excepción todo conjunto social tiene como característica, como en el caso de la discapacidad o los pueblos indígenas(22).

La inexistencia de discusión teórica al respecto impide en muchos casos elevar la sinergia de las distintas intervenciones en los cuales está sectorizada la sociedad en este particular modelo social al cual hace referencia su modelo de intervención(23). A nuestro entender, la inoperancia del modelo en este punto crucial obliga a replantearse la necesidad de repensar la planificación en Chile.

Planificación - con orientación estratégica -, y Pueblos indígenas.

Obviamente la planificación en tanto tal siempre será una actividad estratégica, no obstante, no vale solo admitir la obviedad, y de un plumazo eliminar la argumentación necesaria para sustentar esa afirmación. En efecto, la planificación estratégica es un medio muy poderoso para evitar una serie de efectos no deseados en la implementación de intervenciones sociales, y evidentemente mantiene controladas ciertas variables muy volátiles que de otro modo eleva los espacios de incertidumbre y aleatoreidad.

En general, es posible admitir que la relación entre planificación y estratégia no siempre es muy feliz, toda vez que en algunos casos se contraponen, por cuanto la planificación es un medio, la estratégia es un medio de nivel superior en tanto se vincula a ella una serie de variables macro tales como la política, la economía entre otros.

Cuando la planificación no suscribe ciertas "sutilezas estratégicas", por lo regular, triunfa la estrategia, a veces con altos costos que eventualmente inviabilizan la implementación de proyectos. Como la planificación social con orientación estratégica que preocupa a este análisis tiene que ver con los pueblos indígenas; analicemos algunos casos concretos.

La implementación de mega proyectos que involucran población indígena en general y mapuche en particular, han tenido serios retrocesos, tanto por problemas de planificación como de orden estratégicos. El caso del proyecto Ralko es sin duda paradigmático, la planificación del proyecto subestimó totalmente la capacidad de respuesta de pequeños grupos indígenas que luchaban por un territorio que haste ese momento no tenía una gran plusvalía. La ausencia de simulaciones y estudios prospectivos, hicieron creer a los inversionistas que el proyecto era totalmente viable y que se llevaría a cabo sin contratiempos. No obstante, el tiempo diría que la percepción que la empresa tenía respecto del comportamiento de la población mapuche-pewenche estaba equivocado. Cuestión similar ocurre en el caso de los proyectos de infraestructura vial tales como la carretera de la costa o el by pass en la zona de Temuco.

¿Qué fue lo que falló?. ¿Se podían haber tomados resguardos que evitaran la evolución de los acontecimientos tal cual ocurrieron?. Nuestra impresión es que a lo menos, podía haberse proyectado o modelado un ambiente multivariado que permitiera acercamientos con mayores grados de confiabilidad que los que se dieron en la realidad. Obviamente la planificación estratégica no puede ser vista como una actividad académica, pero cuando se planifica ha de hacerse acopio de la mayor cantidad de información y conocimiento posible y de no ser posible aquello habrá que hacer el esfuerzo de producir información y conocimiento. Cuando se diseñan objetivos estratégicos sin el adecuado conocimiento e información suele suceder que los comportamientos sociales se expanden a su varianza máxima, lo cual produce retraso y se elevan los costos no previstos por efecto de no tener control sobre variables que se suponían no debían mostrar altos niveles de dispersión..

Pero por otro lado, al examinar la relación existente entre la planificación y los pueblos indígenas, es posible advertir elementos comunes y característicos a toda intervención social en el modelo de funcionalidad social. Pero también existen elementos distintivos respecto de la población indígena que habría que mencionar.

La primera gran diferencia entre las intervenciones a los distintos subconjuntos sociales es que en el caso indígena existe una normativa especial que regula una serie de mecanismos en su interior, dicha normativa es denominada "ley indígena, N° 19.253". Una segunda diferencia es que al interior del consejo(24) existe una proporción del 50% de sus miembros elegidos por votación popular. Este mecanismo (el consejo indígena) marca con signo propio el proceso de intervención sobre la población indígena, en la medida que las diferencias mencionadas, distinguen de manera sustantiva el modelo de intervención sobre la población indígena por sobre los otros segmentos sociales, al menos en el plano formal. Con todo, las similitudes en términos de intervención están dadas básicamente en el plano de las regulaciones administrativas y presupuestarias, como asimismo en el plano de las dependencias organizacionales.

No obstante, lo primero que habría que decir respecto de este punto es que las políticas públicas y su reflejo en el modelo de planificación formal no ha variado sustantivamente a pesar de las diferencias de composición de elementos constitutivos a nivel de los pueblos indígenas(25) ya mencionados.

En efecto, tal como se planteara con anterioridad, el modelo de planificación actualmente vigente en Chile responde a la necesidad de la implementación de las políticas públicas(26). De tal modo que es posible observar que, el modelo no ha tenido una implementación distinta de la que se puede observar en otros servicios y además las soluciones propuestas no han sido lo suficientemente eficientes y eficaces para la resolución de la problemática indígena, tal como lo demuestran las cifras de la CASEN 96 y el desarrollo del conflicto mapuche. Más aún, pareciera ser que la inyección de recursos frescos no ha sido otra cosa que la necesidad de "calafatear" la estructura de intervención que como ya se ha afirmado anteriormente, ha mostrado ser poco eficiente.

El programa ORÍGENES es un ejemplo notable de esta situación, en la medida que por ejemplo se constata la casi inexistencia de elementos de diagnóstico que permitan defender la implementación del proyecto en zonas rurales.

Para justificar la propuesta solo se menciona el nivel de pobreza a nivel nacional de la población mapuche versus la de la población no mapuche. Este aspecto llama poderosamente la atención, puesto que pareciera ser que los diseñadores del proyecto no consideraron necesario demostrar este punto, aún cuando la misma CASEN 96 contiene suficiente información para justificar la intervención en zonas rurales a través de las cifras que entrega dicho instrumento.

Considérese la siguiente tabla:

Población Urbano/Rural Indígena y no Indígena, según Nivel de Pobreza

Pobreza Indígena y no Indígena

Indigente
Pobre No Ind.

Pobre(27)

No Pobre

Total

Urbano

No Indígena

5.0%
16.6%
21.6%
78.4%
100%

Indígena

8.0%
20.8%
28.8%
71.1%
100%
Total
5.0%
16.8%
21.8%
78.2%
100%
Rural

No Indígena

8.8%
20.0%

28.8%

71.2%

100%

Indígena

13.0%
29.0%

42.0%

58.0%

100%

Total

9.4%
21.2%

30.6%

69.4%

100%

Fuente: CASEN 1996

Un breve vistazo a estas cifras, permite afirmar que existe una situación socioeconómica desmejorada de la población indígena en relación con la población no indígena independiente de su origen urbano/rural. Las cifras que entrega la CASEN 96 muestra con toda crudeza que existen diferencias sustantivas en las cifras de pobreza respecto de la población indígena y no indígena. Por lo cual, no es aventurado afirmar que, la pobreza hoy en Chile tiene rostro indígena.

Un aspecto que llama poderosamente la atención en estas cifras es que, la pobreza de la población indígena rural es muy superior a la pobreza rural no indígena (42.0% y 28.8% respectivamente) que implica una diferencia de más de 13 puntos porcentuales (13.2%), brecha importante que deja de manifiesto varias cuestiones conexas:

  1. La ley indígena ha tenido una clara orientación ruralista que parecen no haber afectado la relación de pobreza estructural que afecta a la población indígena, es decir, la ley N° 19.253 no ha sido un factor concomitante en términos de superación de la pobreza indígena.

  2. La cantidad de recursos que se ha invertido en la población indígena rural, parece no haber traspasado el umbral necesario para revertir la tendencia observada por la CASEN 96. Esto reactiva la pregunta acerca de cuantos recursos son necesarios para sacar de la inercia social a la población indígena en general y rural en particular, que claramente han sido insuficientes en este cometido.

Con todo, y a pesar de que se podría hacer un muy buen estudio diagnóstico que efectivamente justificara la intervención del programa ORÍGENES, este se limita a afirmar que: "en promedio, la población indígena es más pobre que la no-indígena (35,6% vs 22,6%), viviendo un 10,6% de ésta en condiciones de indigencia (5,5% en el caso de la población no indígena)", como si ello fuera argumento más que suficiente y sin ahondar más en posibles variables intervinientes en este fenómeno, como lo pueden ser la variable de género. Al respecto habría que decir que el proyecto BID fue diseñado por un conjunto de profesionales nacionales e internacionales académicamente preparados disponiendo de toda la infraestructura propia y la que el aparato de estado podía ofrecer. Por lo tanto, no se puede decir que los diseñadores del proyecto no tuvieron acceso a la información disponible de fuentes secundarias u otras. No pareciera ser necesario para estos operadores (Asesores BID) como para los operadores de políticas públicas (MIDEPLAN, CONADI) demostrar la existencia de una necesidad objetiva de intervención, es más, el mismo proyecto admite que:

"A pesar de que la proporción de indígenas que viven en zonas urbanas es muy alta, el Gobierno de Chile ha decidido que este Programa atenderá únicamente a la población indígena atacameña, aymará y mapuche del sector rural..."(28)

Lo cual, nos permite afirmar que solo basta una decisión política - a veces muy mal fundamentada, como podría ser el programa ORÍGENES, y que en el caso indígena tiene un claro sentido de neutralización de conflictos -, para implementar una política social.

Por otro lado, convendría revisar a lo menos 2 aspectos que - a nuestro juicio -, habría que al menos mencionar respecto del programa ORÍGENES, primero el tema de la focalización y el segundo el tema de la participación. Respecto del primero habría que decir que existe ambigüedad e incoherencia teórica respecto del concepto en el aparato de estado y que evidentemente se refleja en el diseño del programa ORÍGENES.

Sostiene el informe final: "Focalización de la inversión pública y planificación territorial indígena" que: focalización "consiste en concentrar los recursos disponibles, en una población de beneficiarios potenciales claramente identificada" y agrega más adelante que un término que se "asimila al de focalización es el de políticas o programas de discriminación positiva"(29). Evidentemente, focalización y discriminación positiva son conceptos muy distintos, en la medida que el primero apunta a una actividad técnica de selección de beneficiarios que dicen relación con la intersección de varios indicadores tales como: segmentación etárea, territorial, de género, socioeconómica, étnica, etc, en cambio la discriminación positiva no es una actividad técnica sino política. Por lo tanto, confundir o asimilar ambos conceptos implica diluir esfuerzos y recursos que claramente tiene repercusiones en el plano formal.

En este mismo sentido, los criterios de focalización en el diseño inicial del programa ORÍGENES no fueron tampoco claramente definidos, de modo que se hace una declaración muy general, dejándose para una etapa posterior el tema de la selección de beneficiarios. En todo caso, dado que no existe en el aparato de estado claridad teórica respecto del tema de la focalización ello resulta comprensible.

Todas estas razones, permiten inferir que la propuesta de trabajo respecto de las Áreas de Desarrollo Indígena ADI, financiadas por crédito BID obedece a razones más bien políticas enfocadas a la contención de conflictos más que a la real necesidad de los sectores indígenas involucrados.

Respecto del tema de la participación, aquí también hay - a nuestro juicio - incoherencias teóricas de envergadura, puesto que los diseñadores del proyecto parecieran entender la participación en una etapa muy posterior y marginal, y solo en cuanto a que las comunidades "participan" en el plano de la implementación o ejecución del proyecto, nunca el proyecto BID ha planteado la participación en el diseño de la intervención ni mucho menos en términos de su diseño estratégico ni la conducción del mismo, (de hecho nunca participaron las comunidades que se suponen son beneficiarias en el diseño del proyecto, además todos los funcionarios de alto rango en el proyecto son no indígenas y, solo se ha permitido el ingreso de indígenas a puestos de rango muy menor dentro del proyecto), estos elementos de discusión son muy importantes en la medida que permiten verificar que hasta las acciones de inversión social más publicitadas siguen el orden vertical que caracteriza la acción del estado. Por otro lado, la ausencia de reflexión teórica respecto del tema del desarrollo reafirman nuestra posición.

Un segundo nudo gordiano que interesa mencionar es el que dice relación con la composición de la población indígena, o más bien la definición de "población indígena", aquella que es sujeto de planificación. En este sentido, la "ley indígena" define quienes son indígenas y quienes por default no lo son.

Al examinar la composición de la población indígena se puede concluir ciertamente que ella contiene todos los segmentos sociales involucrados en el conjunto social, sin embargo el organismo que se preocupa de este segmento social (CONADI) no tiene líneas de trabajo o de intervención que connote la característica transversal de la población indígena. En todo caso, esto es un común denominador a todo organismo que trabaje con un segmento social específico.

Sintomático es el caso de una intervención ejecutada por FUNCASE con jóvenes mapuche en la comuna de Cerro Navia (1997), en cuanto este proyecto fue ejecutado con fondos de los concursos ordinarios PLDJ (Programa Local de Desarrollo Juvenil) financiados por el FOSIS: CONADI no hubiera financiado este proyecto porque no disponía (y no dispone) ni de los recursos implicados en la ejecución de este proyecto ($ 10.000.000) ni de una línea de intervención específica con jóvenes mapuche.

La misma situación ha sido constatado por Richards en una reciente investigación de campo realizada sobre la percepción de mujeres indígenas respecto del rol del SERNAM con arreglo a la situación de las mujeres indígenas. Richards afirma que:

"El comportamiento de SERNAM encaja en el modelo global del Estado Chileno en sus negociaciones con los mapuche: se incorporan las reivindicaciones de los mapuche sólo en la medida en que no representan una amenaza al desarrollo nacional o a una identidad chilena coherente"(30).

También afirma que: "las demandas y propuestas de las mapuche rara vez han sido acogidas por SERNAM con algo más que un interés retórico".

De alguna manera esto sugiere que las demandas específicas de segmentos sociales al interior de los pueblos indígenas simplemente no tienen cabida en la estructura del estado. Esto se refuerza en la opinión que recoge Richards de una alta funcionaria de SERNAM:

"La verdad es que la institución como tal, nunca tuvo los recursos y nunca ha hecho un esfuerzo mayor por las mujeres indígenas, porque se suponía que la CONADI era la institución que tenía que hacer ese esfuerzo..."(31)

Uno de los elementos que habría que enunciar de esta opinión es que los servicios públicos en general, perciben bastante nítidamente que ellos tienen obligaciones sólo con el segmento social para el cual fueron creados, no existiendo vías administrativas ni logísticas ni mucho menos estratégicas para soslayar dichas obligaciones. La paradoja se manifiesta cuando se esperaría encontrar en el organismo diseñado para atender la población indígena (CONADI), líneas de intervención transversales(32) y que evidentemente no existen.

Quizás lo único que se puede decir, en términos de crítica, respecto de lo que plantea Richards es que existe un análisis un tanto sesgado en el sentido de que pareciera culpar al SERNAM exclusivamente de las ineficiencias estructurales respecto de la incorporación de la demanda indígena en este servicio. No obstante, - a nuestro juicio -, es injusto pensar que las fallas y dificultades que constata Richards se deben al funcionamiento interno de este servicio, puesto que en general, es el estado el problema y por lo tanto es un problema con el poder.

Intentando concluir.

No cabe duda que las políticas públicas, son el elemento clave en el diseño de cualquier proceso planificador que bien podría tener características de mayor transparencia y recursividad, sin embargo, cuando el aparato de estado decide invertir socialmente, lo hace de un modo muy específico que se caracteriza por un fuerte verticalismo y etnocentrismo y podría decirse que su intencionalidad no es mejorar una situación de desmedro social, económico o cultural sino más bien, mantener bajo control las variables de mayor explosividad social. Consecuentemente esta política no necesariamente es la más adecuada o la mejor técnicamente hablando.

Por otro lado, el verticalismo con que se planifican las políticas sociales, impiden un mayor flujo de información y de recursividad que de no mediar un momento de cambio, la inversión social estará destinada al fracaso, como ha venido ocurriendo en el caso indígena.

Evidentemente el problema es doble: por un lado las deficiencias operativas y reflexivas de las políticas públicas así como del concepto de la planificación, pero por otro lado, la concepción del todo social incide fuertemente en este problema.

La insuficiente conjugación y resolución de estos aspectos han implicado que en el caso de la CONADI(33), no exista un esquema de contingencia que le permita enfrentar con éxito los retos que el mundo indígena ha generado en el último tiempo, de modo que CONADI se ha transformado en caja de resonancia de las políticas públicas sin margen de maniobras para generar líneas estratégicas propias.

Al interior de CONADI, existen departamentos y unidades de importancia estratégica mal aprovechadas, un ejemplo de ellas es la unidad de estudios y planificación (hoy día dividida en dos), dicha unidad cuenta con recursos insuficientes para la labor estratégica que podría eventualmente desempeñar, tales como, la elaboración de directrices, lineamientos, generación de propuestas, estudios, etc, que viabilice aumentar el flujo de recursos disponibles para la institución u optimizar su intervención, la inexistencia de discusión acerca de los resultados de la CASEN 96 para la discusión presupuestaria 1997 avalan nuestra afirmación, tal vez si se hubiera actuado con oportunidad frente a estos resultados, los hechos del 98 en adelante no habrían tenido el desenlace que finalmente tuvieron.

La creación de subgrupos (Grupo de Alerta Temprana GAT) al interior de CONADI cuya finalidad es incierta y poco transparente, con presupuesto muy escuálidos y con clara intencionalidad normativa es a todas luces una pérdida de tiempo y de recursos.

CONADI muestra una escasa inserción en el aparato de estado aún cuando esto en el último tiempo ha cambiado producto de una estrategía de coordinación entre servicios que se ha estado llevando a cabo, también es posible constatar un escaso nivel de convocatoria a nivel parlamentario, poder de influencia mínimo al interior de su población objetivo, y precaria inserción en los foros internacionales.

Se nota escasa autocrítica y nulo debate interno entre los profesionales de la institución, así como, ausencia de seminarios internos de evaluación o de generación de propuestas que surjan de la propia institución como resultado de reflexión interna, y se encuentran más bien enfrascados en su cotidianeidad burocrática. Tampoco es posible observar la existencia de evaluación de impacto de los planes, programas y proyectos como práctica profesional.

La población indígena es la población objetivo de CONADI mandatada por ley. No obstante, las deficiencias mencionadas anteriormente que se visualizan con cierta nitidez en el funcionamiento de la CONADI, no es propio ni único de este servicio, sería muy injusto acusar a este servicio de ser ineficiente, solo por el hecho de ser tal, por el contrario, es un problema que se genera desde la misma estructura del estado, desde su misma génesis.

No ha sido la intención de este artículo, intentar deslegitimar las acciones que se han llevado a cabo por los servicios con que el aparato de estado interviene sobre la población indígena, ni tampoco descalificar a sus funcionarios, sino más bien, lo que se ha intentado mostrar, es que independiente de la buena voluntad de los funcionarios y a veces de sus mismos servicios, es que el aparato de estado no genera políticas públicas con transparencia y participación de la población indígena, lo que a nuestro modo de ver, constituye una clara intencionalidad de control social.

Notas.

(*) El autor agradece los comentarios de la Dra. Patricia Richards, que han ayudado ha mejorar la argumentación de este artículo.

  1. Cual es: la racionalización de esfuerzos y recursos con el propósito de producir cambios que "no sean determinados sólo por circunstancias fortuitas o externas, sino a través de las decisiones y acciones deliberadas de algunos o de todos los habitantes de esta sociedad". Planificación Social en América Latina y el Caribe. ILPES_UNICEF. 1981. Pag 90.

  2. Esto es particularmente observable después de la crisis del 30 y de la guerra fría, y con la aparición de lo que Offe denomina "Estado de Bienestar Keynesiano" (EBK).

  3. Evidentemente esto trajo los problemas inherentes a la secularización y la racionalización de la sociedad (Weber), no obstante aquí se usa la conceptualización weberiana en su sentido más bien extremo y peyorativo, en el sentido de que ello ha provocado su anquilosamiento y generación de mecanisnos de defensa institucionales que en general entrampan mejores soluciones, más democráticas, eficientes, participativas y altamente legitimadas. Quizás el concepto de dialéctica del iluminisno de Adorno y Horkheimer sea útil para dar cuenta de la paradoja de la racionalización presente indudablemente en este problema. Por otro lado, este problema ha traido como consecuencia las dificultades propias de la división del trabajo, cuestión muy bien analizada por Bromley en: "El proceso de planificación: lecciones del pasado y un modelo para el futuro". Planificación Social en América Latina y el Caribe. Pag 91. Op cit.

  4. Cabe recordar que en Chile, a partir de la década de los 90’, la cooperación internacional fue canalizada y centralizada por un departamento especialmente creado para tal fin por el estado chileno (AGCI).

  5. Hay que distinguir entre políticas públicas y políticas sociales, en tanto las primeras son lineamientos y esfuerzos estratégicos encaminados al cumplimiento de compromisos del estado con problemas generales, en cambio, las políticas sociales son la operacionalización o implementación de las políticas públicas.

  6. Esto no deja de ser cierto por el solo hecho de enunciar una relación con mayor horizontalidad en términos de exigencia política. Por lo cual no podemos coincidir con Palma cuando afirma que: "[e]n las sociedades en desarrollo, el plan constituye la toma de conciencia y la consiguiente pugna de poder para reorganizar la sociedad en un sentido u otro, por la vía de aumentar las políticas diversas, que son objeto de decisiones u omisiones". Palma Eduardo. Estado y planificación: el caso de Chile. Pg 8. ILPES. LC/IP/R.149. 09/11/94.

  7. Es necesario aclarar que no siempre está disponible esta opción y son muy contados los casos en que producto de la actividad planificadora se modifica una política pública.
  8. Este orden jerárquico de tipo militar, es heredado del diseñador inicial de este ministerio que, cabe recordar fue pensado como organismo consultor del nivel decisional en tiempo de dictadura, sin embargo hoy día sigue totalmente vigente.

  9. La falta de recursividad, no implica necesariamente falta de retroalimentación, en tanto son conceptos distintos, en efecto, la retroalimentación no modifica sustantivamente la estrategia, sino más bien la optimiza y perfecciona, lo cual no dice nada respecto de la calidad de la misma. En cambio la recursividad es un modelo circular que implica interdependencia, puesto que ambos niveles (estratégico – táctico) se potencian y modifican mutuamente.

  10. Aquí se usa el término ad – hoc en la conceptualización de Lakatos I. en el sentido de que la argumentación ad – hoc es aquella que sirve para impedir que un determinado corpus teórico o conjuntos de hipótesis pierda vigencia de modo que ello permita que sea reemplazado por otro nuevo.

  11. Es evidente además que la actividad planificadora debería contemplar el diseño y validación de mecanismos adecuados de generación de información así como instrumentos de ejecución de proyectos pertinentes a su contexto de implementación.

  12. Nótese que aquí se ha introducido una nueva variable no contemplada en el modelo, cual es: el afloramiento de la conciencia de consumidor de los sectores pobres, lo que ha visto disminuir la oferta del mercado. Esto obligó a realizar un ajuste en el sistema en términos de elevar el standard de calidad, por ejemplo.

  13. Offe Claus. Partidos Políticos y Nuevos Movimientos Sociales. Sistema Ed. 1992. Pag 12.

  14. Nótese por ejemplo, el hecho de la enorme disponibilidad de información que se genera en cada concurso de proyectos, en términos de los diagnósticos que cada proyectista debe construir para justificar su propuesta o la información que se genera en el proceso mismo de ejecución de proyectos, que no pasa mas allá de ser comentada muy brevemente hasta el nivel de los supervisores. La ausencia de interés por sistematizar y procesar dicha información es crítica, lo que obstaculiza la posibilidad de generación de conocimiento a nivel de la ejecución de proyectos. No se debe olvidar que la simple información es solo un dato, pero cuando un dato se procesa, se le da contenido bajo un cierto modelo interpretativo, se contextualiza entonces se transforma en conocimiento.

  15. Repensando la planificación. ILPES. LC/IP/R.139. 1993. Pag 11.

  16. Política, planificación y gobierno. Matus Carlos. Fundación ALTADIR. Sin fecha de edición. Pag 254.

  17. El modelo de gestión estratégica, reivindica – a nuestro juicio-, adecuadamente metodologías de última generación, como lo son las "técnicas de simulación" y los métodos prospectivos, que deberían ser parte inherente al modelo de programación social. El concepto de programación social ha sido trabajado por Salamanca F. con arreglo a utilizar dicho concepto como alternativa a la planificación social formal.

  18. Evaluación y diagnóstico en la planificación social. Genisáns Nélida. Pg 342 en Planificación social Op cit.

  19. Evidentemente este esquema podría variar en cuanto al número de subconjuntos sociales existentes en un cierto espacio social, lo que interesa mostrar es que – según esta línea teórica -, es posible abrir dicho espacio social y diferenciar sus subconjuntos.

  20. Jóvenes (INJ), mujeres (SERNAM), niños (SENAME), indígenas (CONADI), discapacitados (FONADIS), etc, tienen servicios especialmente diseñados con recursos propios para la intervención sobre estos.

  21. En muchos casos, se admite la existencia de transversalidad social, no obstante, eso no se traduce en adecuación del modelo en términos de estrategias de intervención.

  22. El SERNAM no dispone de líneas programáticas para mujeres con discapacidad, tampoco CONADI por ejemplo.

  23. Es elocuente el hecho de que en las conclusiones del último encuentro de mujeres indígenas, estas llegaran a la hipótesis de que la propuesta del SERNAM respecto de la igualdad de género no es viable para las mujeres indígenas, por lo que han generado una serie de propuestas con el objetivo de crear una línea programática específica al interior del SERNAM.

  24. Las funciones y atribuciones del consejo indígena están señaladas en el artículo N° 41 de la ley 19.253.

  25. Los intentos por formalizar el proceso de planificación respecto de los pueblos indígenas, a nuestro juicio, ha tendido una evolución muy interesante en el último tiempo, quizás gatillado por los procesos sociales en que han estado involucrados los pueblos indígenas, especialmente el pueblo mapuche, pero de no considerar componentes recursivos en la planificación el problema seguirá siendo el mismo y sus posibles soluciones también.

  26. Ahumada sostiene que las partes integrantes de la planificación pueden resumirse en:

  27. a. "Que es un ejercicio político, social y técnico que precede y preside la acción local, la organiza, establece prioridades y compatibiliza objetivos e instrumentos;
    b. Que está orientada a la instrumentación efectiva de un proyecto político;
    c. Que supone una coordinación real con las instancias superiores de planificación nacional y regional;
    d. Que hace efectiva y real la descentralización democrática y la promoción de una sólida democracia local, fundamentada en la activa participación de la comunidad;
    e. Que concurren a su formulación, ejecución y coordinación, la mayor pluralidad de actores, integrando y especificando a las áreas urbanas, rur-urbana y rural, a las ofertas y demandas que vienen de los niveles superiores y comunitarios en una nueva síntesis de desarrollo y acción". (Ver Planificación e inversión local. Jaime Ahumada. LC/IP/R.128. ILPES.)

  28. La columna "Pobre" es la suma de los indigentes y los pobres no indigentes. Cabe señalar que el método de estimación de la pobreza es el método de la "línea de la pobreza", ampliamente definida en los textos que se especializan en la medición de la pobreza. Este método excluye el servicio doméstico y núcleo familiar que se encontraba en una vivienda determinada y que trabajaba para uno de los hogares que habitan dicha vivienda.

  29. Proyecto BID. Programa de Desarrollo Integral de Comunidades Indígenas. I FASE. Reglamento operativo. Marco de referencia, situación socioeconómica. Pto 1. 2.

  30. Focalización de la inversión pública y planificación territorial indígena. Santiago Consultores, Asesorías para el Desarrollo. Informe Final. Pg 10.

  31. "Expandir el concepto de la ciudadanía de las mujeres: La visión de pueblo y la representación de las mujeres mapuche en SERNAM". Richards Patricia. (Mimeo).

  32. Richards P. Op cit.

  33. Los ejemplos de esta situación son numerosos, pero para muestra se ofrece un botón: Una connotada lingüista autodidacta mapuche (Clara Antinao), presentó un proyecto de enseñanza del Mapudungun en niños mapuche de entre 7 y 13 años; CONADI no financió su proyecto, finalmente está ejecutando su proyecto con recursos propios y con un pequeño aporte de la Municipalidad de Santiago.

  34. Lo que sigue en los párrafos siguientes, es una constatación a partir de la observación del funcionamiento de CONADI, sin embargo esto también podría ser válido para otros servicios, es decir, puede ser considerada una "plantilla crítica" en la que se pueda calzar (casi)todos los servicios que el aparato de estado a generado para atender a los segmentos sociales en que ha dividido a la población chilena.

Bibliografía

  1. Diagnóstico de la población indígena de la Región Metropolitana. 1998. CONADI - Gobierno Regional Metropolitano de Santiago.
  2. Dialéctica del Iluminismo. Adorno y Horkheimer. Sudamericana Ed. 1987.
  3. Estado y planificación: el caso de Chile. Palma Eduardo. Pg 8. ILPES. LC/IP/R.149. 09/11/94.
  4. Focalización de la inversión pública y planificación territorial indígena. Santiago Consultores, Asesorías para el Desarrollo. Informe Final.
  5. Partidos Políticos y Nuevos Movimientos Sociales. Offe Claus. Sistema Ed. 1992.
  6. Planificación e inversión local. Ahumada Jaime. LC/IP/R.128. ILPES.
  7. Planificación Social en América Latina y el Caribe. ILPES_UNICEF. 1981.
  8. Política, planificación y gobierno. Matus Carlos. Fundación ALTADIR. Sin fecha de edición.
  9. Programa de Desarrollo Integral de Comunidades Indígenas. I FASE. Reglamento operativo.
  10. Repensando la planificación. ILPES. LC/IP/R.139. 1993.
  11. Situación de los Pueblos Indígenas en Chile. 1998. Valenzuela Rodrigo. MIDEPLAN.

Portada | Editorial | Mapunet | Arte y cultura | Documentos | Enlaces Relacionados | Humor